
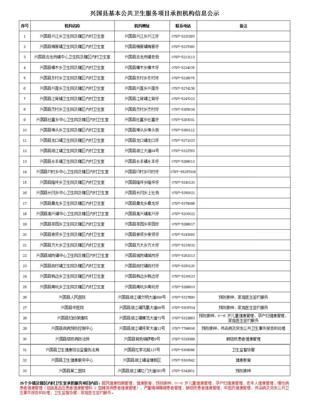
承擔服務項目內容:居民健康檔案管理、健康教育、預防接種、0~6 歲兒童健康管理、孕產婦健康管理、老年人健康管理、慢性病患者健康管理(包括高血壓患者健康管理和 2 型糖尿病患者健康管理)、嚴重精神障礙患者管理、肺結核患者健康管理、中醫藥健康管理、傳染病及突發公共衛生事件報告和處理、衛生監督協管、家庭醫生簽約服務。

承擔服務項目內容:居民健康檔案管理、健康教育、預防接種、0~6 歲兒童健康管理、孕產婦健康管理、老年人健康管理、慢性病患者健康管理(包括高血壓患者健康管理和 2 型糖尿病患者健康管理)、嚴重精神障礙患者管理、肺結核患者健康管理、中醫藥健康管理、傳染病及突發公共衛生事件報告和處理、衛生監督協管、家庭醫生簽約服務。